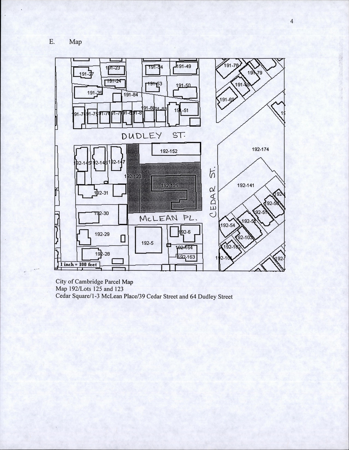
37-39 Cedar St - Cedar Square Race Course Hotel - Supplemental Material
- Neighborhood :
- North Cambridge
- Document Type :
- Supplemental Material
- Research District :
- Northwest Cambridge
- Citation :
- Cambridge Historical Commission, Digital Architectural Survey and History.
- Pages :
- 22
- Rights :
- Rights status not evaluated.
- Place Item :
- 37-39 Cedar St - Cedar Square Race Course Hotel
- Folder:
- Cedar Square Race Course Hotel





















