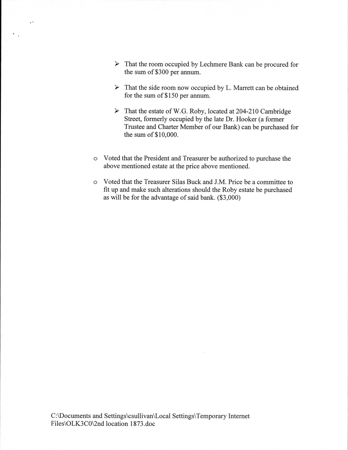
292 Cambridge St - East Cambridge Savings Bank - Correspondence
- Neighborhood :
- East Cambridge
- Document Type :
- Correspondence
- Research District :
- East Cambridge
- Citation :
- Cambridge Historical Commission, Digital Architectural Survey and History.
- Pages :
- 15
- Rights :
- Rights status not evaluated.
- Place Item :
- 292 Cambridge St - East Cambridge Savings Bank














