Oxford St Odd
Folder Contents
-
58 Oxford St
-
58 Oxford St - Research Form
-
61 Oxford St
-
61 Oxford St - Architectural Inventory Form
-
61 Oxford St - Research Form
-
61 Oxford St - Research Form
-
63-69 Oxford St
-
63-69 Oxford St - Architectural Inventory Form
-
63-69 Oxford St - Research Form
-
63-69 Oxford St - Research Form
-
63-69 Oxford St - Research Form
-
63-69 Oxford St - Research Form
-
79-81 Oxford St
-
79-81 Oxford St - Architectural Inventory Form
-
79-81 Oxford St - Published Material
-
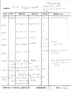
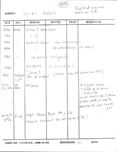
79-81 Oxford St - Research Form
-
79-81 Oxford St - Research Form
-
79-81 Oxford St - Research Form
-
79-81 Oxford St - Research Form
-
79-81 Oxford St - Research Form
-
79-81 Oxford St - Research Form
-
79-81 Oxford St - Research Form
-
103 Oxford St
-
103 Oxford St - Published Material
-
103 Oxford St - Research Form